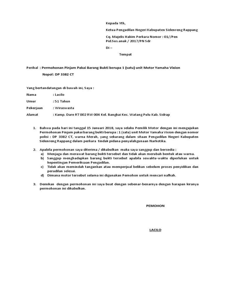
Contoh Surat Permohonan Pinjam Pakai Barang Bukti Di Kepolisian
Surat Permohonan Pinjam Pakai Barang Bukti Di Kepolisian Bagi Contoh Surat

Contoh Surat Pinjam Pakai Kendaraan Dinas Kumpulan Surat Penting
![]()
Doc Contoh Surat Permohonan Pinjam Pakai Barang Bukti Muhamad Aljebra A L I K S A N Rauf Academia Edu

Surat Permohonan Pinjam Pakai Barang Bukti Caranecom

Surat Permohonan Pinjam Pakai Barang Bukti Caranecom
Contoh Surat Perjanjian Pinjam Pakai Contoh Surat

Contoh Surat Pinjam Pakai Barang Bukti Kepolisian Contoh Seputar Surat
Surat Permohonan Pinjam Pakai Barang Bukti Di Kepolisian Bagi Contoh Surat

Pinjam Pakai Barang Bukti Kejahatan Bahasan Id
Surat Pernyataan Pinjam Pakai Pdf

Kendaraan Disita Polisi Untuk Barang Bukti Ini Prosedur Pinjam Pakai Barang Bukti Serta Contoh Surat Permohonannya Semua Halaman Intisari
Posting Komentar untuk "Contoh Surat Permohonan Pinjam Pakai Barang Bukti Di Kepolisian"